Black Ribbon

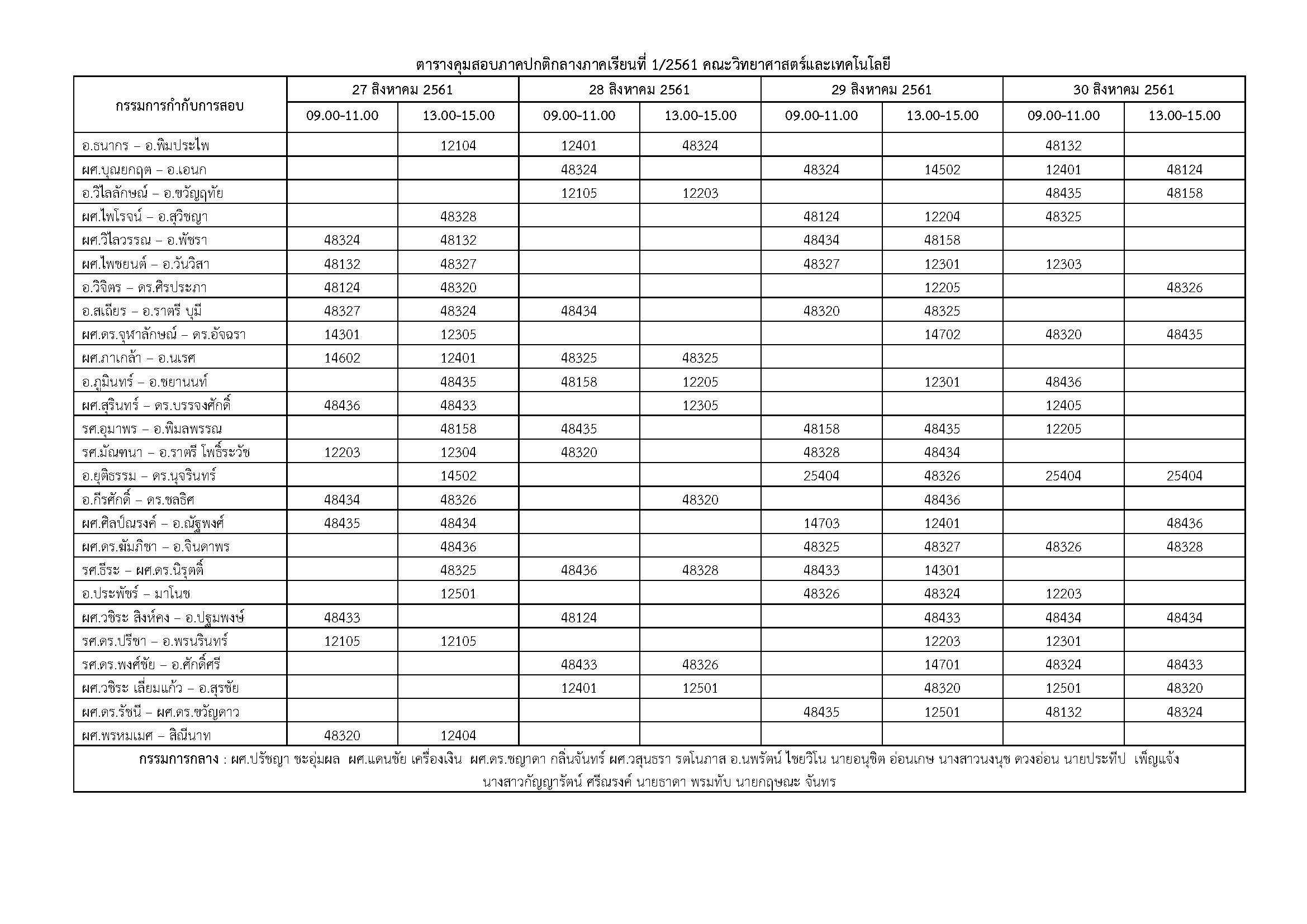
คำสั่งแต่งตั้งคณะกรรมการดำเนินการสอบกลางภาคนักศึกษาภาคปกติ-กำแพงเพชร ภาคเรียนที่ ๑ ปีการศึกษา ๒๕๖๑

 


เรื่องแนะนำ