Black Ribbon

ตารางคุมสอบภาคปกติ-ปลายภาคเรียนที่-2-2559

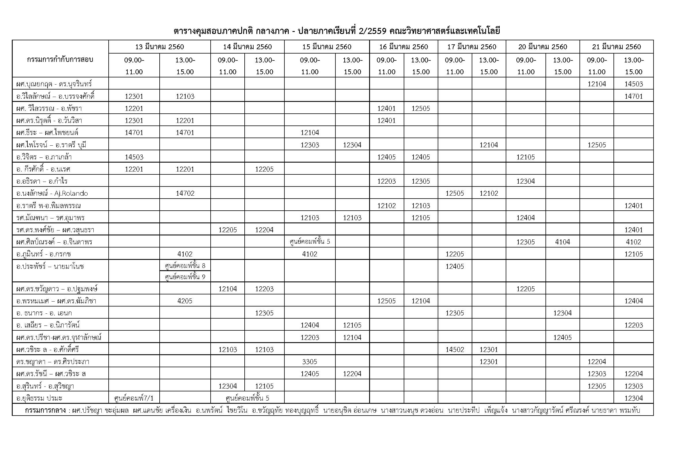
 ตารางคุมสอบภาคปกติกลางภาค-ปลายภาคเรียนที่ 2/2559 คณะวิทยาศาสตร์และเทคโนโลยี ระหว่างวันที่ 13-21 มีนาคม 2560

ประกาศเมื่อวันที่ 2 มีนาคม 2560

เรื่องแนะนำ